As I have documented in my free e-book The FDA, COVID-19 Vaccines, and Scientific Fraud, numerous studies have found that mRNA COVID‑19 vaccine effectiveness wanes rapidly into statistical insignificance followed by a further decline into statistically significant negative effectiveness.
On September 20, 2022, a Lancet preprint study was published in SSRN once again finding rapid waning followed by negative vaccine effectiveness against the Omicron variant of SARS‑CoV‑2. The study is titled “Effectiveness of COVID‑19 Vaccines Over 13 Months Covering the Period of the Emergence of the Omicron Variant in the Swedish Population”.
The data show that effectiveness against Omicron infection “was poor and only short-lasting”. The authors’ interpretation was that their findings “strengthen the existing evidence” that a booster dose is needed. Therefore, they argued, “more effort is needed to encourage people to get a booster dose.”
That conclusion, however, is a non sequitur fallacy. It does not follow from the observation that the primary two-dose vaccine regimen confers weak and short-lived protection against infection with the virus that the best course of action is to continue injecting people with even more doses.
When you see scientists employing logical fallacies like this, it is a huge red flag that they are approaching their research with a lack of objectivity. Further into the study, there is another illustration of bias, which we will come to.
The study looked at the outcomes of SARS‑CoV‑2 infection, COVID‑19 hospitalization, intensive care unit (ICU) admission, and death. They included data on outcomes from the end of December 2020 through the end of January 2022. Omicron was first identified in November 2021 and rapidly overtook Delta to become the predominantly circulating variant of SARS‑CoV‑2.
Here was the overall result for the outcome of infection:

As the authors observed in the body of the paper, effectiveness waned rapidly from a peak of 72 percent to no effect by week eighteen. A curious feature of this data is the uptick in estimated effectiveness at the end of the timeline, with very wide confidence intervals that are not inconsistent with continued negative effectiveness.
Analyzing the data differently to show “smoothed trends” with a method that “assumes a linear association in the tails”, here is what they found:

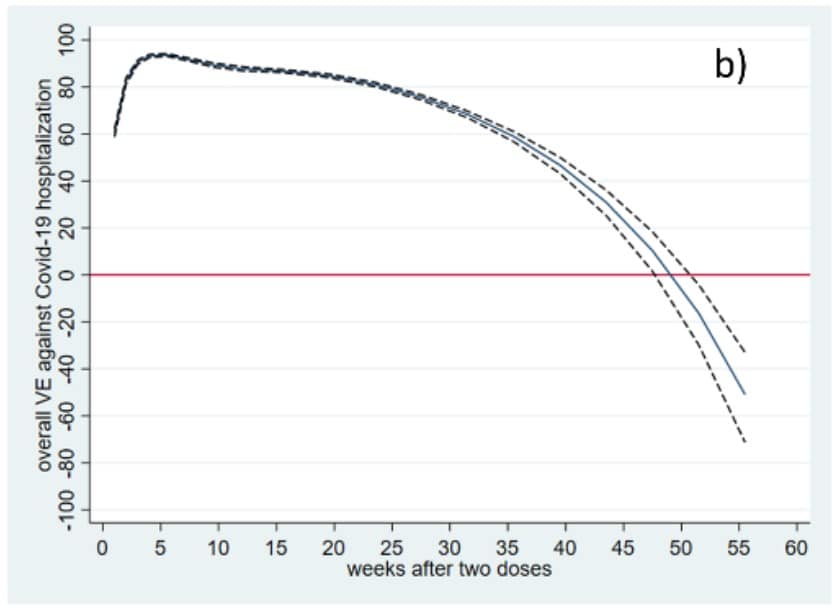
Here is the same pair of graphs for the outcome of COVID‑19 hospitalization:


Here are the same graphs for COVID‑19-related ICU admission:


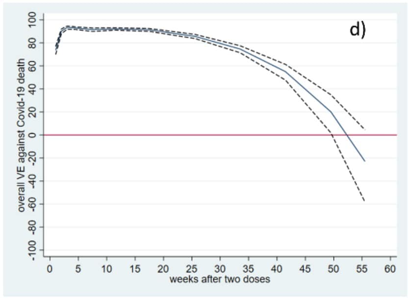
And here are the graphs for the outcome of COVID‑19 as the underlying cause of or a contributing factor in death:


Finally, here are the results for SARS‑CoV‑2 infection and hospitalization, respectively, narrowed to the period of Omicron predominance (smoothed versions of these graphs were not presented):


To summarize, the smoothed data show vaccine effectiveness (VE) against infection going negative after about eighteen weeks (a bit over four months). VE against hospitalization goes negative within fifty weeks (about eleven-and-a-half months). VE against ICU admission loses statistical significance also within fifty weeks. VE against death similarly loses statistical significance at about fifty weeks.
Against Omicron infection, VE goes negative within fifteen weeks (about three-and-a-half months). The authors did not present smoothed versions of the graphs for Omicron infection or hospitalization, but we can reasonably anticipate, given the overall result including data on pre-Omicron variants against which the vaccines offered better protection, that the graph for effectiveness against hospitalization would become negative within about fifty weeks.
The study authors dismiss these findings of negative vaccine effectiveness. Referring specifically to the negative effectiveness against infection shown in both the smoothed and unsmoothed graphs, they say, “Somewhat implausibly, we even observed a negative VE against Omicron infection from week 14, indicating that vaccinated individuals experienced a higher risk of infection than those unvaccinated.”
The authors confusingly suggested that this result was possibly related to “harvesting bias” as a result of a history of Omicron infection “getting close to ubiquitous”. They elucidated by writing, “More unvaccinated individuals had already been infected, leaving a larger pool of vaccinated individuals susceptible to their first infection later by Omicron. As a result, a higher risk among vaccinated individuals might be observed for a limited time period.”
In other words, the authors appear to be saying that their estimate of vaccine effectiveness against Omicron infection was a reflection of nearly all unvaccinated people having acquired natural immunity. Relative to natural immunity, vaccine-induced immunity is inferior protection. The negative vaccine effectiveness is relative to natural immunity.
However, vaccine-induced immunity does not magically become relatively superior over time, so it remains unclear what the study authors mean about the higher risk among the vaccinated being possibly observed only “for a limited time period”. Presumably, they mean that the “sterilizing” immunity among the unvaccinated, meaning their protection against infection (as opposed to protection against disease in the event of infection), was holding for the duration of their study but would eventually wane. That is true, but the authors seem not to have considered that the relative superiority of natural immunity would remain.
I noticed that the authors referred to a supplementary appendix that was not provided on the SSRN website, so I used the provided contact information for the lead and corresponding author to request the supplement. The lead author is Yiyi Xu, a researcher at the University of Gothenburg in Sweden. I sent my email to Xu on October 5 at 8:52 am (US Eastern Time). She responded very promptly at 9:17 am to provide me with the supplement, remarking that it was “strange” that it wasn’t published along with the main paper. She also kindly asked me to let her know if I had any further questions.
After spending some more time to analyze the documents, I did have a few big questions, so I replied to Xu’s email at 11:49 am with the following (bold emphasis added):
Thank you for your prompt reply and for sharing the appendix! I would like to suggest that someone from your team contact SSRN to see about getting the appendix linked. It does seem strange that they would not have published it.
I do have two immediate questions. In the study, you suggest that the negative VE shown by your data is implausible, but I do not see why this should be considered implausible. Is it not explainable by the fact that the unvaccinated population at this point largely equates to a naturally immune population, that natural immunity is superior, and that natural immunity must be understood as an opportunity cost of vaccination given the confirmations in the literature that “original antigenic sin” occurs with vaccination, whereas the immune responses induced by infection are broader and more adaptive? You seem to suggest the explanation yourself of the unvaccinated population having acquired natural immunity, but you describe this as a “harvesting bias”, which is a term I am unfamiliar with but assume is synonymous with “ascertainment bias”. Isn’t it a mistake to consider this a source of bias when it reflects real-world conditions, whereas to exclude previously infected unvaccinated people from VE estimates would be to rely on an ascertainment bias to artificially inflate estimates of VE?
Second, Figure 1 and Figure 2 show very different results, with 1 showing sustained positive protection against death but 2 showing loss of significant protection against death, for example. Figure 1 also shows curious upticks in VE at the end, which is something I do find implausible. How could VE increase again after falling to a certain point? Also, each figure reflects a different methodology, and especially given the seemingly inexplicable upticks of VE at the end in Figure 1, are the estimates presented in Figure 2 likely to be more accurate?
I was hopeful given Xu’s rapid reply to my initial request that she would be forthcoming with answers. Alas, she never responded to my questions. I emailed again on October 28 but have not yet received a reply. If I do get a response, I will update this article.
The question that this study raises is whether vaccine effectiveness against severe disease and death will continue to wane into negative territory the same way that effectiveness against infection has been shown in numerous studies to become significantly negative.
One can understand how, from the perspective of “public health” officials and their sympathizers, anticipation of this outcome would be interpreted as indicating a need to booster shots. One can understand why, after disinforming and coercing most of the population into getting vaccinated, they would wish to delay the inevitable and try to conceal the relative long-term detriment to the immune system caused by vaccination.
One problem with this approach, though, apart from being sociopathic, is that the mRNA COVID‑19 “booster” shots reformulated to include an Omicron subvariant component appear not to be an improvement on the original shots, which were designed only to induce immune responses to the spike protein of the original Wuhan strain of SARS‑CoV‑2, which is now extinct outside of laboratories.
When the FDA authorized the new Omicron booster shots on August 31, the promise made by the “public health” establishment was that this formulation would “recharge” people’s immunity and “update” people’s antibodies to be more specific to the dominant Omicron subvariants, BA.4 and BA.5 (which share the same spike protein). But the FDA authorized the product for “emergency use” without any data on the effect of these new vaccines on humans (another illustration of the sociopathic tendencies of the establishment).
A recent preprint study found that the Omicron boosters did not induce a higher level of neutralizing antibodies against the Omicron subvariants than the original formulation, which they reasonably suggested “may be indicative of immunological imprinting”, which is another term sometimes used in the literature to describe the phenomenon of original antigenic sin.
Another finding of that study was that breakthrough infection with Omicron resulted in a slight but statistically significant increase in neutralizing antibodies compared to an Omicron booster shot, suggesting that natural exogenous boosting from exposure to the virus might be the better option for individuals who received the primary two-dose series despite being at low risk of developing severe COVID‑19.
The Lancet preprint study shows rapidly waning protection against infection into statistically significant negative vaccine effectiveness. The conclusion drawn by the study authors, that the solution to this problem of vaccine failure is even more vaccination, is irrational.
What their data rather reinforce is that natural immunity must be taken into consideration as an opportunity cost of vaccination, in line with numerous other studies showing significantly negative vaccine effectiveness over time and confirming that original antigenic sin is a real problem with these vaccines.
Maintaining a policy of unnecessarily vaccinating people who already have superior protection from natural immunity and denying young healthy people who have not yet been exposed to the virus the opportunity to likewise acquire that superior protection is not just unwise and shortsighted; considering how these products have been sold to the public on the basis of lies and how the population has been coerced into getting vaccinated, maintaining this approach is downright criminal.
A further corollary is that the “public health” establishment is more concerned with the financial interests of the pharmaceutical industry than with public health.
[Update, June 17, 2023: David Foster in the comments below notified me that this Lancet preprint has been removed from SSRN “at the request of the author, SSRN, or the rights holder”. No further explanation is provided at the page where the abstract and download link used to reside. Here is an archived version.]


Hi Jeremy, I had referenced this article in a substack article and a reader pointed out that the study which your article references had been removed by the author, it doesn’t look like any explanation was provided. Very curious.
Anyways, here is a link to an archived copy:
https://web.archive.org/web/20221130072319/https://papers.ssrn.com/sol3/papers.cfm?abstract_id=4224504
David, thanks for the notice. I’ve added an update to the article making note of it and sharing the archived link.
Wow.
I think this is the first time I’ve come to your site (thanks to James Lyons-Weiler’s Substack), and although I haven’t read the paper myself, I’m impressed with your assessment.
I’ve heard of original antigenic sin before, and I’d like to ask whether I my understanding is correct.
So, here goes:
1. We know that the virus mutates–and specifically, when the virus mutates, it’s the spike protein that mutates. That’s why we have variants.
2. My understanding is that while the spike mutates, the rest of the virus (the capsid, etc.) remains unchanged.
3. With natural exposure or infection, your body gets exposed to the whole virus (spike, capsid, etc.), and therefore, can develop immunity to the whole virus.
4. With natural exposure or infection, the immunity your body creates is a whole-virus immunity (vs. these spike vaccines that stimulate a spike-limited “immune response”), so that if there’s a variant (a different spike than the one you were originally exposed to), your body can still be immune to that new variant, because your whole-virus immunity recognizes the other pieces of the variant (such as the capsid).
5. However, with the spike-specific vaccines, your body gets exposed only to the spike/variant, not the capsid or other components.
6. Original Antigenic Sin, as I understand it, says that if your body is exposed to something, its immune responses are biased to that variant.
7. The mRNA spike-specific vaccines aren’t SARS-CoV-2 whole-virus or attenuated vaccines, but rather, spike- or variant-specific.
8. Thus, with spike-specific vaccination, the antibodies your body creates are spike/or variant-specific. That means that if the virus mutates, it can possibly escape the vaccinal antibodies, because the vaccinal antibodies are specific only to the spike they’re designed for.
9. I heard that the vaccinal antibodies compete against, and may even outcompete the body’s antibodies. If this is true, then there’s a chance of being infected by a different variant than the one a person was vaccinated for.
Is my understanding of Original Antigenic Sin, as well as the role it plays with spike-specific vaccination, correct?
Hi DK,
Thanks for your positive feedback and comment. To your points:
1. Correct. Not that mutations don’t occur elsewhere, but when speaking of “variants of concern”, we are predominantly talking about mutations in the spike protein. (Hence the “concern”, since the vaccines are designed to elicit immune responses ONLY to the spike protein.) I discuss that more here: https://www.jeremyrhammond.com/2022/01/14/the-real-reason-why-omicron-is-a-variant-of-concern/
2. Not exactly, as just noted. Mutations may occur elsewhere, but they do tend to occur mostly in the spike protein, whereas other regions are more “conserved”, which is a term they use to mean that mutations tend not to occur in those regions of the genome.
3. Correct. Natural immunity is much broader than vaccine-induced immunity. I discuss that more here:
https://www.jeremyrhammond.com/2021/11/29/fact-checking-the-fact-checkers-on-natural-immunity-to-sars-cov-2/
4. Correct. A caveat is that there is a distinction between “sterilizing” immunity, in which an effective antibody response prevents infection in the first place, and cell-mediated immunity that protects against disease even if infection occurs. Sterilizing immunity depends mainly on neutralizing IgG antibodies that bind with the spike protein, which is the protein utilized by the virus to bind with the ACE2 receptor of certain human cells to gain entry into those cells for self-replication.
5. Correct. The vaccines induce immune responses to the spike only, whereas natural immunity involves responses to every epitope on the virus, including nucleocapsid and membrane proteins.
6. Correct. Original antigenic sin refers to a detrimental imprinting of immune responses prejudicial toward the originally infecting variant at the expense of more appropriate responses toward the infecting variant that would otherwise occur given immunological naivete (or superior natural immunity, in the case of vaccine-induced immunity).
7. Correct. The mRNA vaccines encode only for the spike protein of the original Wuhan strain of the virus.
8. Correct. Hence, again, the designation of Omicron as a “variant of concern” despite its apparently lesser virulence, as elucidated in the above-linked article.
9. Essentially correct. The idea that antibodies specific to the original antigen exposure outcompete antibodies specific to the currently infecting variant is central to the concept of original antigenic sin.
10. Yes, with the above correction and caveats.
Thanks!
I just wanted to hone in on one term: you said, “vaccine-induced immunity.”
“Vaccine immunity” is a term I’ve often seen, and may even have used myself.
However, I’ve been trying to pay attention to the words I use.
You may be aware that around September of last year, the CDC changed the definition of a vaccine. Part of that change involved replacing the word “immunity” with the phrase “immune response.”
https://www.msn.com/en-us/health/medical/yes-the-cdc-changed-its-definition-of-vaccine-to-be-more-transparent/ar-AATtAJ2
So, as I interpret it, vaccines now don’t have to provide immunity, only an “immune response.”
That’s why I’m trying to become more skeptical of the phrase “vaccine immunity.” In my opinion, a more accurate term would be “vaccine immune response.”
DK,
The reason the CDC changed the definition of “vaccine” was because people were misinterpreting the old definition’s use of the word “immunity” to mean that immunity meant only sterilizing immunity, meaning protection against infection. This was simply wrong since even if one’s antibodies fail to prevent infection, there remains cellular immunity that protects against disease. When I use the term “vaccine-induced immunity”, I am referring to the totality of immune responses induced by vaccination and not just sterilizing antibodies.